因数定理を使って因数分解するには,与えられた整式を とおいて,適当な整数 に を代入して,ちょうど0になるものを探します. そういう意味では,人聞きがよくないですが,「因数分解は,ある程度はまぐれ当たりねらいです」.運が良ければ,速く当たり,運が悪ければ,なかなか当たり1 次の式を因数分解しなさい。 (1)at-bt-ct (2)3ac-12a2 (3)24χ2-15χy12χz (1) t(a-b-c) (2) 3a(c-4a) (3) 3χ(8χ-5y4z) のように、 の2次の項、1次の項、定数項でできている式は、 公式1~3 を使って因数分解をします。 では、 和が、積が になる2つの数を見つけます。 なので、2つの数は と です。 公式1 で、 とすればよいのです。 例1 和が、積が → と 例2 和が、積が
多项式的因式分解法则 3次方多项式有什么因式分解的方法 举些例子 三人行教育网 Www 3rxing Org
因数分解3次
因数分解3次- 4乗!?複二次式の因数分解の解き方!途中式をていねいに解説するぞ! 3次式の因数分解!公式とやり方について問題を使って解説! 高校で学習する因数分解のやり方をぜんぶ解説! ←今次の式を因数分解しなさい 2x 34x 248x 4x 2 y12xy9y3x 2 y 2 x 3 y10xy 3 12a 3 12a 2 3a 4a 316a 8x 318xy 2 pdf



3次式の因数分解 公式とやり方について問題を使って解説 数スタ
3次式の因数分解の公式 ① ② a 3 b 3 = ( a b) ( a 2 − a b b 2) ⋯ ① a 3 − b 3 = ( a – b) ( a 2 a b b 2) ⋯ ② 展開の公式の左辺と右辺を逆にしただけです。 特に間違えやすいのは 符号 なので、符号に注目すると覚えやすいでしょう。 共通点や相違点を意識しながら覚えましょう。 3次式の因数分解の公式2文字以上の文字を含む因数分解では、 最低次の文字について整理 することが鉄則です。 2次式よりも1次式の方が因数分解がしやすいのは当然でしょう。 また、最低次数が同じであったとしてもどちらか1つの文字について整理することで大抵はうまくいきます。 問 次の式を因数分解せよ。 (1) x^3 (a3)x^2 (3a2)x2a (2) x^3x^2y2xyy^21 (3) (ab)c^3 (a^2abb^2)c^2a^2b^2 正の数と負の数 22 文字と式(中学) 19 一次方程式 23 比例と反比例(中学) 16 平面図形(中学) 33 高校数学全般 6 実数 32 展開と因数分解 28 集合と命題 38 一次不等式 18 二次関数 101 三角比 77 データの分析 45 場合の数 53 確率 75 整数 平面図形 26 空間図形 9 式の計算 30 二項定理 14 等式と不
直接 因数分解してみよう 次に, はじめから \(a^3 b^3 c^3 3abc\) が因数分解できることがわかっている (既知) として, 直接 因数分解してみよう 試験で 「\(a^3 b^3 c^3 3abc\) を因数分解せよ (その過程を書け)」 複素数の範囲での因数分解の例題4問 与えられた多項式を「 の範囲で因数分解する」とは, 係数の多項式の積に(できるだけ細かく)分解するという意味。 因数分解の問題で特に指示がない場合は「整数の範囲で」因数分解すればOKですが,この記事では三次多项式一定能因式分解得出实数解,因为每个三次项都一定有个实根。三次方多项式如x 3 x 1含有无理实根,不能被因式分解成含有整数或有理数系数的多项式。虽然可以用立方方程因式分解,这种方程还是不能分解成一个"整数"多项式。
因数分解を行う式を電卓に入力し「因数分解」ボタンを押してください。 置き換えや公式を連続して使うなどの複雑な因数分解では途中式も表示されますので解き方の手順がわかります。 この電卓は中学で習う因数分解に対応しています。 3次式などの高校レベルの因数分解には当電卓では対応していません。 やり直す場合は「クリア」ボタンを押すと電卓に入力 1 3次式の因数分解・展開の公式まとめ 2 2次式の因数分解・展開の公式まとめ(復習) 3 3次式の因数分解の例 東大塾長の山田です。 このページでは、 「 3 次式の因数分解・展開の公式 」について解説します 。 復習も兼ねて、大学入試で覚えておくべき因数分解・展開公式もすべてまとめたので、勉強の参考にしてください! 1 3次式の因数分解・展開動画一覧や問題のプリントアウトはこちらをご利用ください。ホームページ → http//19chtv/ Twitter→ https//twittercom/haichi_toaru



高中生到熟女都在問一元三 四次方程式怎麼解 註 Medium目前不支援latex 雖然我也不太會用 By Thomas Anderson Medium



三次多项式分解因式高次多项式因式分解 学习岛
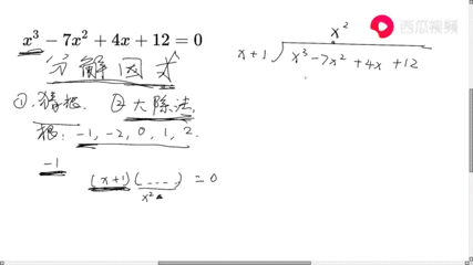
一般的な3次式の因数分解は、因数定理を用いることで解くことができます。 まず、f(x)=x 3 x 2 x3とおきましょう。 そして、 f(p)=0となるpの値を見つけにいきます 。 具体的に、x=1とか、x=3といった値を代入して、調べていくわけですね。 因数分解 式の計算 更新日時 四次式の因数分解(または方程式を解く)に関する問題は,以下の5パターンがあります。 パターン1A:普通に因数定理が使える場合 パターン1B:二次式×二次式に分解できる場合 パターン2:相反方程式 パターン3これは、3次多項式を因数分解する方法に関する記事です。 彼は、グループ化による因数分解の方法と、自由用語の使用方法を探ります。 2の方法1:グループ化による因数分解 多項式を2つの部分にグループ化します。 多項式を2つの部分にグループ化すると、各セクションを個別に扱うことができます。 多項式x 3x6x18 = 0で作業しているとしましょう。 これを(x



完了しました 因数分解3 次 ニスヌーピー壁紙



新着因数分解3 次 最高のぬりえ
3次方程式の因数分解による解き方・解法 3次方程式を解くとは、因数分解して、(xa) (xb) (xc) = 0 とする事であり、 この時、3次方程式の解はx=a, b, cとなる。 (二次方程式を因数分解して解くのと考え方は同じ) 3次方程式の問題 3次方程式X 3 -6X 2 +11X-6 まずは「 3次方程式の解き方 」をまとめます。 11 3次方程式の解き方の流れ 3次方程式を解くには、基本的に因数分解をする必要があります。 2次以下の式に因数分解をして,それぞれの因数を解いていきます。驚くばかり 因数 分解 3 次 3次方程式の因数分解攻略法 センター数学が14点だった私が本番で 因数分解 発展 三次式の因数分解 From Eboard On Vimeo 19 03 13因式分解法解一元三次方程 哔哩哔哩 つロ干杯 Bilibili 高校数学 数 11 因数分解 3次式の公式編 Youtube 因数



经典必学题 高次方程因式分解的大招 试根法 哔哩哔哩 つロ干杯 Bilibili



新着因数分解3 次 最高のぬりえ
三次多项式因式分解 其实有着三条就可以解决绝大多数3次多项式的因式分解 (1)如果没有常数项,把x提出来,就成2次多项式了 (2)看能否用公式: (ab)^3= (ab) (a^2abb^) (ab)^3= (ab) (a^2abb^) a^3b^3c^33abc= (abc) (a^2b^2c^2abbcca) (这个不常用,但因数分解の解法マニュアル どんな問題もまずⅠ,Ⅱ,Ⅲを試みます. Ⅰ 共通因数があればくくる(全体ではなく個別にくくっても可) Ⅱ 因数分解の公式が使えるか検討する(上の公式⑥はたすきがけで対処). Ⅲ 同じ形を別の文字で置き換える.その後,因数分解の公式が使える形まで変形.3次の式を因数分解する公式 2次の式の因数分解についてはすでに学習済みだと思いますが、ここでは3次の式の因数分解について解説していきます。 3次の式とは、"x³-y³"のような式ですね。 3次の式を因数分解するためには、次の2つの公式を覚えましょう。 ・a³+b³= (a+b) (a²-ab+b²) ・a³-b³= (a-b) (a²+ab+b²) まず、本当に公式が成り立つか、右辺を展開



S3 因式分解 3次公式 Youtube



改訂版 クリアー数学 P16 発展 3次式の展開と因数分解
因数分解の工夫(3)(難)(4乗と複二次式・たすき掛け) 解説 中3数学 因数分解 標準問題 発展問題 前回までの内容でも、難関レベルの問題に対応できると思うが、このページでは、 数学Ⅱの「3次方程式の解き方」についてまとめています。 3次方程式の解き方は、因数分解、置換、組立除法の3パターンあります。 それぞれの公式や計算方法を,具体的に問題を解きながらわかりやすく解説していきます。 組立除法のやり方は「組立除法 やり方と計算」で 因数分解とは? 因数分解とは、 ある数(または多項式)を約数(因数)の積に分解すること です。 つまり、 大きい数字を約数のかけ算で表すこと 、これが因数分解です。 補足 多項式では、約数のことを「因数」と呼びます。 多項式を因数同士のかけ算に分解するから「因数分解」、シンプルですね。 ちなみに、「 因数分解 」の逆は「 展開 」です



高中生到熟女都在問一元三 四次方程式怎麼解 註 Medium目前不支援latex 雖然我也不太會用 By Thomas Anderson Medium



完了しました 因数分解3 次 ニスヌーピー壁紙
① 項を 3 つと 1 つに分けて,( )2 -( )2 の形をつくる 1 つ目のパターンは,項を 3 つと 1 つに分ける場合です。 次の各問いに答えなさい。 ⑴ x2 2+ 4x + 4 - y を因数分解しなさい。 ⑵ a 2 - b + 2b - 1 を因数分解しなさい。 2( ) の形に因数分解できるように 3 項のグループを決めるのがポイン 多項式の基本6|3次以上の展開と因数分解の公式の総まとめ 前々回の記事で説明したように,たとえば x 2 − 2 x − 2 = 0 のような簡単には因数分解できない2次方程式は,いったん解を求めることによって因数分解できるのでした. では,3次式では因数分解例えば、「式」の欄に次のように入力すると・・・ 2x3 3x2 17x 12 ボタンの下には次のように表示されます・・・ 2x 3 3x 217x12 = (x1)(x4)(2x3) 注意 x の2次式以下で因数分解できない式の一部は計算されません。 x 6 2x 3 x 2 1 = x 6 2x 3 x 2 1 と表示され



3次方程式まとめ 解き方 因数分解 解と係数の関係 理系ラボ



3次式の因数分解 公式とやり方について問題を使って解説 数スタ
21 3次式の因数分解 のときもやり方は同じです。 やり方がわかったら、実際に問題を解いてみましょう。 次の式を因数分解せよ。 3 まとめ 以上が、『展開・因数分解の公式一覧』です。 この単元の公式を、PDFファイルでプリント1枚にまとめました。 演習の際にご活用下さい。 このページでは中3の数学で押さえておきたい 「多項式の計算」「因数分解」「平方根」「二次方程式」 の基礎ポイントをご紹介させていただきます。 こんなページも見られています! >>中学3年生の教科別学習ポイント ~安心・安全な授業のために(3) 次の数の中で、素数だけでできたものをえらぼう。 ①3, 11, 35 ② 2, 11, 25 ③ 3, 17, 23 ④ 5, 13, 34 2 素因数分解のやり方 次の数を素因数分解しよう。 ①36 ②42 ③75 ④100 3 因数分解① 共通因数でくくる 次の式から共通因数をくくりだして、因数分解しよう。



Http Mail Knu Edu Tw Syokou Calculus Ch1 4 Pdf



高次多项式的因式分解
定理《33 3 次式の因数分解》 x 3 y 3 = ( x y) ( x 2 − x y y 2), x 3 − y 3 = ( x − y) ( x 2 x y y 2) \begin {aligned} x^3y^3 &= (xy) (x^2xyy^2), \\ x^3y^3 &= (xy) (x^2xyy^2) \end {aligned} x3 y3 x3 − y3 = (x y)(x2 −xy y2), = (x −y)(x2 xy y2) が成り立つ高校数学Ⅰで学習する因数分解の単元から 「3次式の因数分解のやり方」 について解説していきます。 3次式の因数分解の公式は次の通りです。※ 3次以上の式の因数分解を行う強力な方法として「因数定理」があるが,これは数学IIで習う.数学Iではもっと簡単に「因数分解公式」「置き換え」などで因数分解できるものだけを扱う. I a3 b3= (a b) (a2 − abb2) II a3 − b3= (a − b) (a2abb2)



19 03 13因式分解法解一元三次方程 哔哩哔哩 つロ干杯 Bilibili



X的三次方怎么因式分解 百度经验



三次方因式分解技巧 西瓜视频搜索



三次因式分解 3次方多项式有什么因式分解的方法举些例子 尚书坊



X的三次方怎么因式分解 百度经验



一元三次方程快速解法 快资讯



因式分解技巧 二元二次的分解 星空暗流 博客园



1减x的三次方分解因式



6种方法来因式分解二次多项式 二次方程



多项式除法 维基百科 自由的百科全书



三次方 三次方程式展開



新着因数分解3 次 最高のぬりえ



高校数学 因数分解 3乗が登場する因数分解の解き方をわかりやすく解説 数学の面白いこと 役に立つことをまとめたサイト



数学技巧 一元三次方程求解 十字交叉法解一元三次方程 个人高中偶然发现的一个数学技巧 知乎



如何解高次方程式 1080p Youtube



3次式の因数分解 公式とやり方について問題を使って解説 数スタ



如何因式分解三次多项式 12 步骤



3次以上の展開と因数分解はどうなる 公式の総まとめ



列竖式进行因式分解 知乎



中考数学 50道经典因式分解详解例题 知乎



高校数学 因数定理と3次式の因数分解 練習編 映像授業のtry It トライイット



因数分解その4 3次式 Youtube



三次因式分解 3次方多项式有什么因式分解的方法举些例子 尚书坊



解一元三次方程 知乎



一元三次多项式因式分解的两种方法 Longlongqin的博客 程序员宅基地 一元三次因式分解步骤图 程序员宅基地



3种方法来分解因式



高中生到熟女都在問一元三 四次方程式怎麼解 註 Medium目前不支援latex 雖然我也不太會用 By Thomas Anderson Medium



数学公式符号



新着因数分解3 次 最高のぬりえ



因式分解 A的3次方 B的三次方 C的三次方 3abc 腾讯视频



三次幂因式分解 数学三次幂分解因式有什么技巧吗 三人行教育网 Www 3rxing Org



数学 3次式の因数分解の公式の使い方とコツ ページ 2 教科書より詳しい高校数学



完了しました 因数分解3 次 ニスヌーピー壁紙



三次方程因式分解 搜狗搜索



解高次方程式 Youtube



因数分解公式3次



X3次方 Y3次方 怎么因式分解还有因式分解的思路 作业 慧海网



三次因式分解 3次方多项式有什么因式分解的方法举些例子 尚书坊



如何因式分解三次多项式 12 步骤



解三次方程式的三個根 Youtube



新着因数分解3 次 最高のぬりえ



虚数三次方因式分解 3次方的因式分解 三人行教育网 Www 3rxing Org



X的三次方减一怎么因式分解 百度经验



多项式的因式分解法则 3次方多项式有什么因式分解的方法 举些例子 三人行教育网 Www 3rxing Org



2 3b觀念01因式分解三次多項式 為什麼我們需要牛頓定理 Youtube



三次方程因式分解的一点小技巧 知乎



5項式的因式分解第二種解法 X 2x X 3x 2x 1 先思考 每日頭條



高校数学 因数分解公式と3次式の因数分解 受験の月



式と証明 3次式の因数分解について 日々是鍛錬 ひびこれたんれん



因数定理を利用した因数分解の練習問題 高校数学の知識庫



初中数学 3次方的多项式怎么分解因式 学霸用这个方法1秒搞定 哔哩哔哩 つロ干杯 Bilibili



因数分解 3つの文字 Youtube



Y X三次方加8怎么分解 搜狗搜索



50 因数分解3 次



因式分解例题



数学公式符号



例題 xとyの二次式の因数分解その1 Youtube



X的三次方减一怎么因式分解 百度经验



新着因数分解3 次 最高のぬりえ



3次式の因数分解 公式とやり方について問題を使って解説 Youtube



新着因数分解3 次 最高のぬりえ



高中生到熟女都在問一元三 四次方程式怎麼解 註 Medium目前不支援latex 雖然我也不太會用 By Thomas Anderson Medium



因式分解



七方教育五年级数学思维突破第三次进门考 质因数分解知识点 哔哩哔哩 つロ干杯 Bilibili



完了しました 因数分解3 次 ニスヌーピー壁紙



3乗の因数分解 展開 公式 理系ラボ



Mt 81 含参数三次函数因式分解 M T 博客园



三次多项式因式分解三次多项式因式分解有什么方法吗



质因数分解 思维训练 Noip知识课堂



新着因数分解3 次 最高のぬりえ



完了しました 因数分解3 次 ニスヌーピー壁紙



3次方程式まとめ 解き方 因数分解 解と係数の関係 理系ラボ



3次方程式まとめ 解き方 因数分解 解と係数の関係 理系ラボ



因式分解之待定係數法 一元三次多項式分解 每日頭條



因式分解三次方



3次方程式まとめ 解き方 因数分解 解と係数の関係 理系ラボ



因式分解之待定系数法 一元三次多项式分解 每日头条



A的3次方减b的三次方因式分解是多少 雨露学习互助



高校数学 数 11 因数分解 3次式の公式編 Youtube



Y的3次方减y因式分解 搜狗搜索



高校数学 因数分解公式と3次式の因数分解 A B C 3abc 受験の月



三次方因式分解技巧 西瓜视频搜索



因数分解 発展 三次式の因数分解 Youtube



三次立方和分解因式 三次方分解因式方法 三人行教育网 Www 3rxing Org



X的三次方怎么因式分解 百度经验



因式分解


0 件のコメント:
コメントを投稿