二次関数のグラフの難問:面積の問題中学数学・高校入試 問題1:二次関数のグラフの難問:面積1 図のように放物線 y = x 2 y = x 2 と直線ℓは2点A、Bで交わっている。 2点A、BのX座標はそれぞれ-1、3である。 ABCの面積が OABの面積の2倍となるとき、点C高校数学の基本問題 Gogle site →数ⅠA →数ⅡB →数Ⅲ (旧C) ***最近の更新*** 反復試行の確率(入試問題) 絶対値付き関数の定積分 Rの関数hist () Rの関数sample () 名義尺度データの比率の検定 フィッシャーの正確2次関数 グラフと変域から応用問題まで グラフと変域 変化の割合と交点 交点と解と係数の関係 座標と文字 2次関数の総合問題 等積変形 2次関数の応用問題
中学数学 1次関数と2次関数y Ax2のグラフの3つの違い Qikeru 学びを楽しくわかりやすく
一次関数 二次関数 グラフ 問題
一次関数 二次関数 グラフ 問題-ア 二次関数とそのグラフ 事象から二次関数で表される関係を見いだすこと。ま た,二次関数のグラフの特徴について理解すること。 イ 二次関数の値の変化 東京学芸大学附属高等学校紀要 55 pp41 苦手克服 二次関数の解き方(基本編) 高校入試や大学入試(共通テスト)では頻出となっている二次関数。 みなさんは理解できていますか? 苦手にしている人も多いかもしれません。 今回は基本編ということで、二次関数の中でも中学校で習う基本的



高校数学 2つの2次関数の大小関係4パターン すべて と ある 受験の月
二次関数グラフの書き方を初めから解説! 二次関数の式の作り方をパターン別に解説! 二次関数を対称移動したときの式の求め方を解説! 平行移動したものが2点を通る式を作る方法とは? どのように平行移動したら重なる?例題を使って問題解説!2次関数や3次関数のグラフはだいたいの形が決まっていますが, 複雑な関数のグラフは, 増減だけでは正確な形がわかりません。それでは, 増減のほかに何を調べたらよいか, 具体的な例を見てみましょう。 これより, yの増減表は次のようになります。二次関数グラフの書き方を初めから解説! 二次関数の式の作り方をパターン別に解説! 二次関数を対称移動したときの式の求め方を解説! 平行移動したものが2点を通る式を作る方法とは? どのように平行移動したら重なる?例題を使って問題解説!
動画一覧や問題のプリントアウトはこちらをご利用ください。ホームページ → http//19chtv/ Twitter→ https//twittercom/haichi_toaruMathAquarium練習問題+解答2 次関数 2 2 (1) 放物線y=-2x2-14x-13 をどれだけ平行移動すると,放物線y=-2x2+8x+7 に重なるか。 (2) 2 次関数y=x2+ax+4 のグラフを,x 軸方向に2 だけ平行移動すると2 次関数y=x2-9x+b の グラフとなる。このとき,a,b の値を求めよ。 手持ちの問題集だけでは足りない場合は,是非,以下の問題に挑戦してみましょう~~! ※各ジャンル毎に,難易度順に並んであります。 下の方へ行くほど難しくなるドン! ①,1次関数,反比例グラフ ・最初の等積変形(★★☆☆☆) (オリジナル) 実
二次関数の係数の符号判定問題 数学 本記事では、二次関数のグラフからその方程式の係数の符号を判定する問題について考えます。 数学Ⅰ「二次関数」の定番の問題です。 特定の係数の符号を 一発で求める 裏技も紹介します。 問題 a c b24ac 二次関数の最大値・最小値の問題 二次関数の最大値・最小値を求める問題では、「 頂点を調べること 」「 グラフを書くこと 」が最大のポイントです。 複雑な条件を考えるときでも、グラフのかたちがイメージできていれば対処できます。2次関数 (3点→頂点) 2次関数の入試問題1 《問題》 次の2次関数が表わす放物線の頂点の座標を求めなさい. 解答欄はすべて「半角数字,符号」(1バイトの数字,符号)で答えるものとします. 全角数字,符号(2バイト文字)は正解になりません



2次関数のグラフの平行移動に関する問題



二次関数のグラフの問題 aの値で上か下かの向きが決まるよ 中学や高校の数学の計算問題
2次関数 = のグラフと 軸との共有点の 座標は、二次方程式 = の実数解で、実数解の個数は = の符号によって決まる。 b 2 − 4 a c {\displaystyle b^{2}4ac} のことを 2次方程式 a x 2 b x c = 0 {\displaystyle ax^{2}bxc=0} の 判別式 (はんべつしき)という。2次関数の平行移動を使った問題 y=ax²のグラフを 平行移動 して、 ・ "y=a (xp)²" ・ "y=ax²+q" ・ "y=a (xp)²q" の形にすることはすでに学習済みかと思います。 ここでは、これらの平行移動のテクニックを使った練習問題を一緒に解いて、理解を深めて中学3年生 数学 いろいろな事象と関数 練習問題プリント 無料ダウンロード・印刷 時間や距離によって変わる料金や、ボールや電車の速度など、身の回りのいろいろな事象を関数でとらえ、式で表したり、グラフを使って問題を解く練習ができます。



中学数学の二次関数 問題の解き方の基本とグラフの書き方 リョースケ大学



バカでもわかる 中学数学 2次関数
2.二次関数 19/3/16 問題 02絶対値のグラフ(難易度2) 19/3/16 問題 0301二次関数のグラフ(難易度1) 問題 (15) 2.二次関数 (35) 実は二次方程式の虚数解はグラフ上に存在してるのだが平面では見えない。 そこでここでは見えない虚数解をどうやったら見えるようになるのか考えていく。 まず復習として二次方程式 x2x−6 =0 x 2 x − 6 = 0 の解を求めよう。 これは因数分解によって (x 二次関数のグラフと三角形の面積の問題の解法 二次関数が作る三角形の面積に関する問題です。 交点の座標を求める事ができるかどうかが基本となります。 記事を読む



二次関数の利用 グラフ系の問題 苦手な数学を簡単に



二次関数グラフ 面積を求める問題 2 の問題で 面積が等しくなる時と 中学校 教えて Goo
二次関数グラフの書き方&頂点を一発で求める方法とは?|高校生向け受験応援メディア「受験のミカタ」 🤣 定数 b の値は 0,10,,30 としました。 まずはこちらからご連絡ください! 数学が苦手な人は二次関数でつまずく! 二次関数の解き方、平方完成、グラフの本質が10分で理解できます! 二次関数に入ってから数学が嫌いになった! という声はいつの時代も聞かれて、困ってしまうものです。 高校数学に入ってから初めに難しく感じてしまう二次関数の全体の理論を、10分 数学Ⅰ 2次関数 最大・最小特訓④ <定義域が動く> 問題編 数学Ⅰ 2次関数 最大・最小特訓④ <定義域が動く> 解答編 2次関数の決定 <頂点・軸・3点を通る> 数学Ⅰ 2次関数 2次関数の決定特訓① <軸・頂点・3点> 問題編 数学Ⅰ 2次関数 2次関数の



二次関数のグラフを選ぶ問題



高校数学1年の2次関数の問題です 赤の線を引いてあるところで Yahoo 知恵袋
2次関数のグラフの特徴 →y=ax 2 ①2次関数のグラフが描く曲線を放物線と言う。 ②定数(a)が+(プラス)の時 ⇒上に開く ③定数(a)が-(マイナス)の時⇒下に開く ④定数(a)の絶対値が小さいほど⇒開き方



二次関数の場合分け 最大最小の応用問題の解き方をイチから解説 Youtube



昼間から何度も質問ごめんなさい 高一の数学二次関数のグラフの問題でグラフを書く問題4 Clear



世界一わかりやすい数学問題集中3 4章 二次関数



高校数学 2次関数y Ax Bx Cのグラフ 受験の月



U9j580gf8iba369ji2w Xyz P 794



関数 グラフ上の平行四辺形の座標 面積 二等分線などの問題を解説 数スタ



数学 中3 41 二次関数の利用 一次関数とのコラボ編 Youtube



二次関数のグラフの書き方 中学生の数学で非常に大切だ 三重の個人契約家庭教師



中学数学 1次関数 2次関数 46 北海道 宮城県 高校入試問題 英語 数学 さくら教育研究所 中学 高校受験 Skredu



Y Ax 2 2次関数 のグラフ 高校入試 数学 良問 難問



二次関数の利用の問題の解き方 グラフの問題 1 現役塾講師のわかりやすい中学数学の解き方



数 二次関数 平行移動の符号はなぜ反対になるのか 答えは見方が逆だから Mm参考書



2次関数のグラフ グラフの書き方 グラフの特徴 基 数学の解説と練習問題



中学数学問題集 中3 2次関数 18 4 中学数学高校数学個別指導in山形市 数専ゼミ



中3数学 2次関数のグラフの特徴と練習問題



中2数学 1次関数のグラフの書き方 練習編 映像授業のtry It トライイット



教科書レベルの問題一覧と解答 数学 2次関数 教科書より詳しい高校数学



高校数学 2つの2次関数の大小関係4パターン すべて と ある 受験の月



センター試験09年度数学1a第2問 二次関数の最大値 最小値の問題の解説 受験数学かずスクール



中学生がつまずきやすい数学分野



二次関数 場合分け チーム エン



中学数学問題集 中3 2次関数 19 1 中学数学高校数学個別指導in山形市 数専ゼミ



クリアー数学 数1 P39 15 2次関数のグラフ



二次関数のグラフの書き方とグラフの問題を一気に紹介 スタディクラブ情報局



5 2 Y3x2 A 1 X Cc A 1 Lihat Cara Penyelesaian Di Qanda



高校数学 文字を含む2次関数の最大 最小 区間固定で関数の軸が動く 高校数学最重要問題 受験の月



二次関数の利用 グラフ系の問題 苦手な数学を簡単に



二次関数のグラフの書き方と 頂点 軸 切片の求め方 受験辞典



二次関数 問題



2次関数 2次方程式の解の存在範囲と判別式 数学 定期テスト対策サイト



超簡単 二次不等式の解き方が誰でもわかる 必ず解きたい問題付き 高校生向け受験応援メディア 受験のミカタ



二 次 関数 数学入門 二次関数をシミュレーション 図解で理解 Amp Petmd Com



高校数学 数 37 2次関数 軸と頂点編 Youtube



2次関数 中学 三角形の面積を二等分する直線の式 勉強ナビゲーター



二次関数の利用 グラフ系の問題 苦手な数学を簡単に



二次関数のグラフの書き方とグラフの問題を一気に紹介 スタディクラブ情報局



中学数学 1次関数と2次関数y Ax2のグラフの3つの違い Qikeru 学びを楽しくわかりやすく



2次関数のグラフと直線



2次関数の問題に対する条件反射 数学 化学講師 佐藤学による受験生に役立つ濃縮ポイントと Etc



世界一わかりやすい数学問題集中3 4章 二次関数



一次関数と二次関数の交点の求め方がわかる3つのステップ Qikeru 学びを楽しくわかりやすく



二次関数 係数の符号の決定 グラフから符号を決めるポイントを解説 数スタ



二次関数のグラフを選ぶ問題



2次関数のグラフを 原点 X K Y Lに関して移動する方法 数学i By はっちゃん マナペディア



二次関数とは 平方完成の公式や最大値 最小値 決定の問題 受験辞典



2次関数のグラフと直線



二次関数の最大値 最小値の求め方 グラフや定義域が動くタイプ



48s96ub7b0z5f Net Nijikansu Graph



意外と出来ない 二次関数のグラフの書き方の超わかりやすい解説 塾 予備校をお探しなら大学受験塾のtyotto塾 全国に校舎拡大中



二次関数のグラフと問題の解き方 覚えておくべき2つの公式



2次関数のグラフの書き方 頂点 平行移動について全て語った 理系ラボ



二次関数の利用 グラフ系の問題 苦手な数学を簡単に



二次関数のグラフで三角形の面積を求める問題の解き方4ステップ Qikeru 学びを楽しくわかりやすく



1



2次方程式の解の配置問題 おいしい数学



二次関数の利用 グラフ系の問題 苦手な数学を簡単に



Search Q E4 B8 80 E6 Ac A1 E9 96 E6 95 B0 Tbm Isch



二次関数と一次関数の融合問題の解き方 座標 変化の割合 など 現役塾講師のわかりやすい中学数学の解き方



中3数学 二次関数のグラフの要点まとめノート 中学生勉強サイトあかね先生



平方完成して二次関数のグラフを書く問題です 今グラフの 4を求めるのにy 0を平方完 Clear



二次関数のグラフと解の存在範囲の問題をわかりやすく解説



超簡単 二次関数の頂点の求め方 平方完成と公式 2つを慶應生が解説してみた 練習問題付き 高校生向け受験応援メディア 受験のミカタ



二次関数のグラフの書き方と公式を使った最大値最小値問題の解き方 Studyplus スタディプラス



Spi 不等式と領域 最速解法 例題 Study Pro Spi



2次関数21 13 区間つき最大最小 怜悧玲瓏 高校数学を天空から俯瞰する



中3数学 2次関数指導案 動点とグラフの問題について丁寧な解説がたくさんある授業



2次関数のグラフの平行移動に関する問題



1



一次関数のグラフ 無料で使える中学学習プリント



問題4 2次関数のグラフと係数の符号 鳩場 通弘



共通テスト 数学i 数学a 17年度プレテスト 第1問 1 解説 ページ 2 なかけんの数学ノート



数学 二次関数のひっかけ問題 高校受験ブログ 学校が言えないノウハウ



二次関数のグラフとx軸の共有点の座標を求める 具体例で学ぶ数学



中3数学 2次関数 原点に頂点がない三角形の面積の求め方



数学 中3 35 二次関数のグラフ Youtube



数学 二次関数グラフの書き方を初めから解説 Youtube



高校数学 2次関数のグラフy Ax Bx Cの係数の符号 受験の月



2次関数のグラフの書き方 頂点 平行移動について全て語った 理系ラボ



二次関数のグラフの書き方とグラフの問題を一気に紹介 スタディクラブ情報局



二次関数のグラフの書き方と公式を使った最大値最小値問題の解き方 Studyplus スタディプラス



2次関数のグラフの書き方 頂点 平行移動について全て語った 理系ラボ



中学3年生 数学 2次関数 練習問題プリント 無料ダウンロード 印刷 ちびむすドリル 中学生



数学の二次関数の問題で 空欄部分がわかりません グラフと回答を教えて下さい Clear



二次関数グラフの作成 数学 東三



中学数学 Y Ax 2 図形との融合問題 中学数学の無料オンライン学習サイトchu Su



中学3年の数学 動画 二次関数のグラフ の問題 19ch



定数付き二次関数の最大最小問題を攻略する 関数に定数がある問題編 つつじヶ丘個別学習会 高校生教室



二次関数のグラフで三角形の面積を求める問題の解き方4ステップ Qikeru 学びを楽しくわかりやすく



高校数学 Y A X P 2のグラフ2 練習編 映像授業のtry It トライイット



二次関数のグラフの概形からa B C の符号を決定するポイント



2次関数のグラフの拡大 平行移動に関する問題



数学の二次関数の問題で 空欄部分がわかりません グラフと回答を教えて下さい Clear



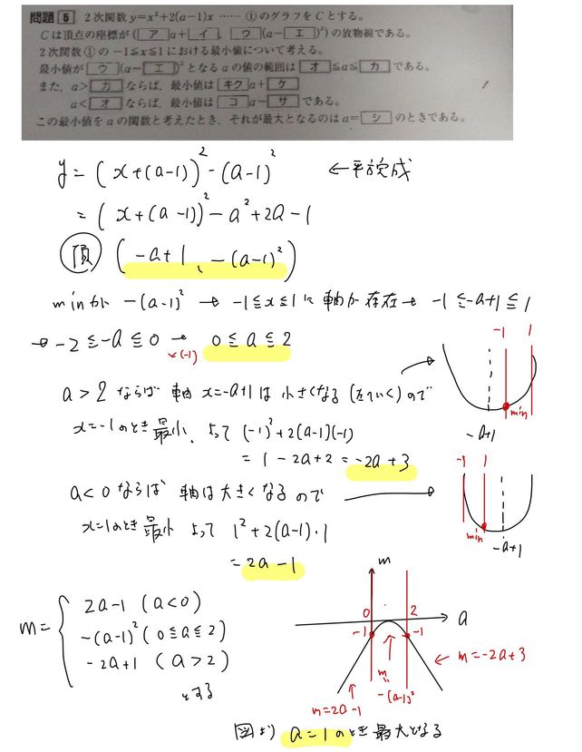
数学iの二次関数の質問です 下の画像のような問題何ですが なぜ最大値を求める Yahoo 知恵袋



二次関数の利用 グラフ系の問題 苦手な数学を簡単に



二次関数グラフの書き方 頂点を一発で求める方法とは 高校生向け受験応援メディア 受験のミカタ



1


0 件のコメント:
コメントを投稿